受講生の予習答案(高3/帯広畜産大学)


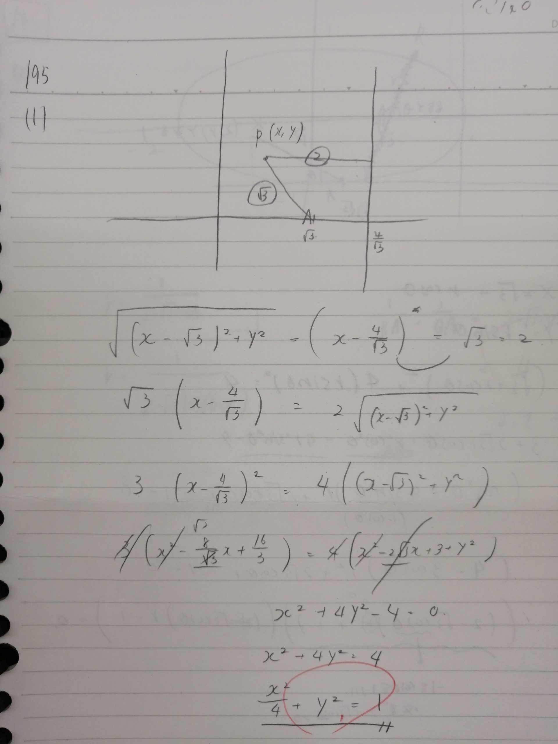
極座標や極方程式を扱う問題です。苦手な受験生は多いはずです。この生徒ももともとこの分野が苦手でした。しかし、苦手なりに粘り強く学習していると、ある日突然得意分野に変わることがあります。特に不器用な生徒は定着させるまでに時間がかかりますが、一旦定着させると器用なだけの生徒に比べてやはり安定感が違います。


極座標や極方程式を扱う問題です。苦手な受験生は多いはずです。この生徒ももともとこの分野が苦手でした。しかし、苦手なりに粘り強く学習していると、ある日突然得意分野に変わることがあります。特に不器用な生徒は定着させるまでに時間がかかりますが、一旦定着させると器用なだけの生徒に比べてやはり安定感が違います。