受講生の予習答案(高2/神戸大学)

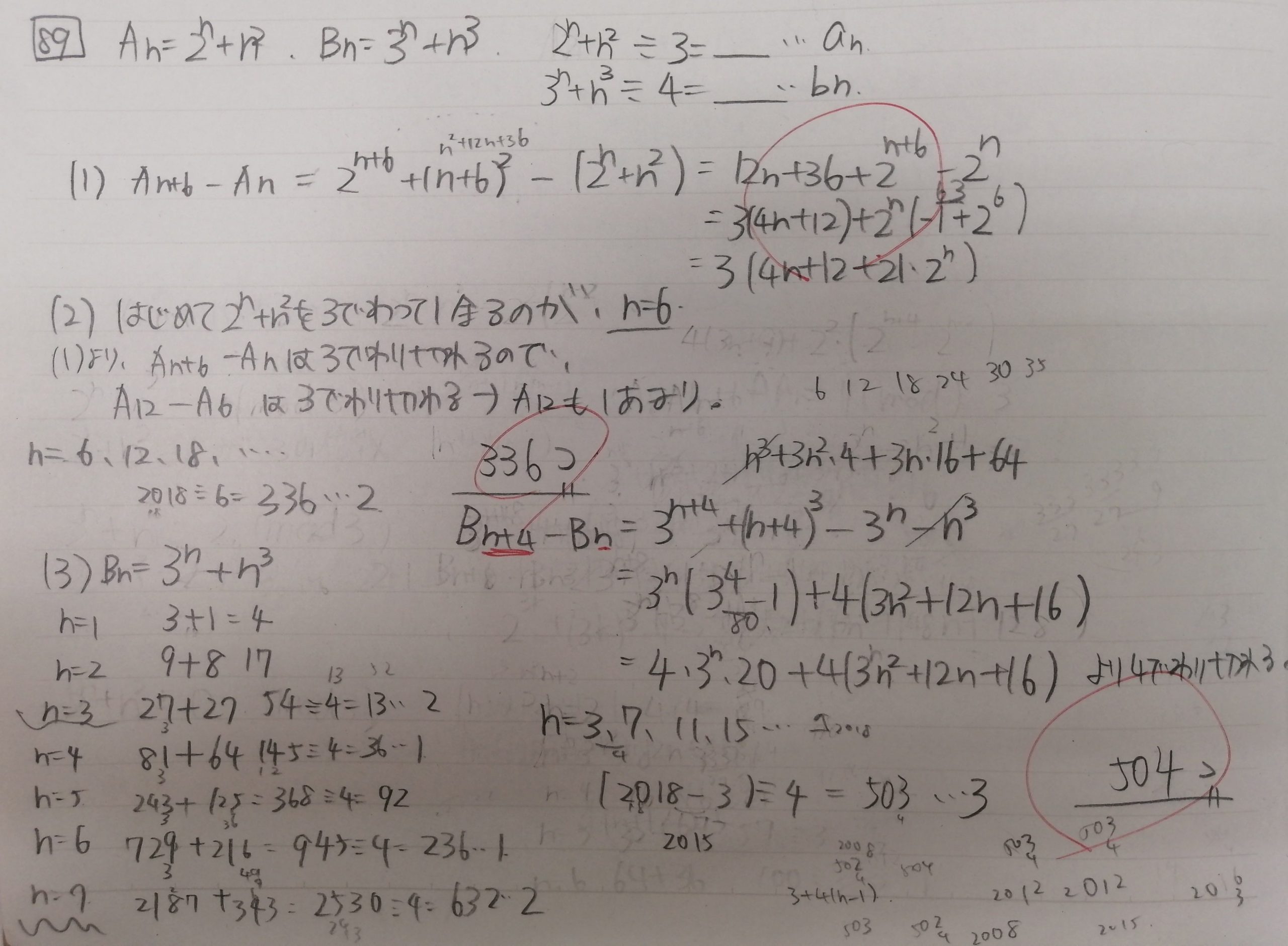
整数問題です。この問題は予習であきらめる生徒が非常に多いのですが、この生徒は粘り強く考えてくれました。指導開始以来、私が伝えてきたことがわかりはじめてきたのかもしれません。画像の左下に注目すると、とにかく具体的に一つずつ書いて調べていることがわかります。初中級者はこれでいいのです。中学入試のときに勉強した算数はこんな感じではなかったでしょうか。あのときは方程式等を用いずにすべて自分が実感できる方法で解いていたと思います。それが高校生になると変に難しく考えて自分でもよくわからない式を作ったりすることがあるのではないでしょうか。実力的に中の下レベルの生徒に多い傾向です。そんなに背伸びをしなくても頭を柔らかくすればほとんどの問題は解けるのです。この生徒、今回の中間考査で満点を取ってくれました。平均点が73点だったので決して易しい問題ばかりではなかったはずです。ひとつもミスを犯さずにすべて解ききったのはすごいことですね。この調子です。
