受講生の予習答案(高3/京都大学)

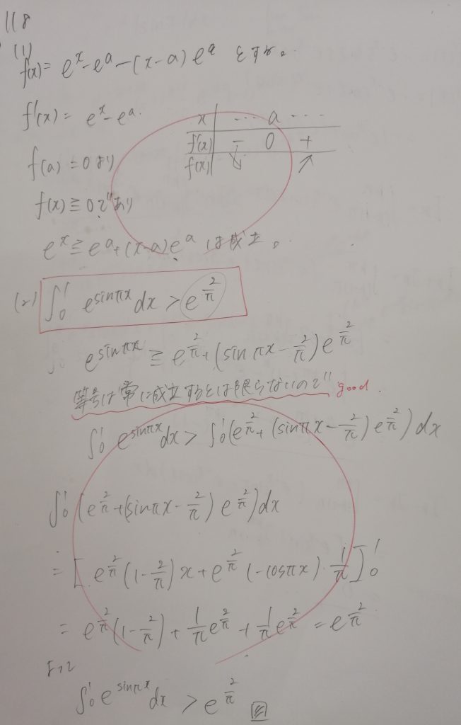
数Ⅲの微積の問題です。(1)は微分です。難しくありません。(2)は(1)で証明した不等式を用いて解き進めます。京都大学にしては穏やかな問題です。この生徒も難なく正解させています。この生徒は今一番勢いがあるかもしれません。数ⅠAⅡBの標準問題(計200問ジャスト。それに加えて数Ⅲの問題も扱っています)を受講から4ヵ月で終わらせました。ただハイペースなだけではありません。先日4ヵ月間に学んだ問題の総復習テストを行いましたが見事合格しました。復習もしっかりできています。当コースではやる気のある生徒はどんどん先に進むことができます。次は数Ⅲですね。半年以上前から受講している同学年の生徒にぜひ追いついてほしいですね。
